阿牛巴流量計量表
阿牛巴流量計量表型號生產報價廠家,本流量儀產品型號屬于氣體流量計分類,更多的阿牛巴、流量控制儀直銷價格報價歡迎您來電咨詢,下面是阿牛巴流量計量表產品資料詳情。
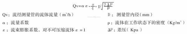
阿牛巴流量計(又稱笛形均速管流量計和托巴管流量計)屬于差壓式流量計。阿牛巴流量計是采用皮保管丈量原理丈量擋體上游的動壓力與下游的靜壓力之間形成的壓差,從而達到丈量流量的目的。丈量管道直徑在DN20到DN12000之間。阿牛巴流量計首要用于工業過程中各種動力如液體、燃料氣、蒸氣和氣體的丈量,具有較高的穩定性和重復性。設計理論符合伯努力方程原理,并可用JJG/640-90規程進行檢驗。

阿牛巴流量計的用途及特點
10、長期精度不受磨損的影響
阿牛巴流量計型譜
|
型譜 |
說明 |
|||||||
|
SKANB- |
節省設備 |
|||||||
|
裝置方法 |
M |
螺紋 |
||||||
|
F |
法蘭 |
|||||||
|
本體原料 |
1- |
碳鋼 |
||||||
|
2- |
不銹鋼 |
|||||||
|
3- |
耐高溫原料 |
|||||||
|
丈量管徑 |
50- |
|
DN50 |
|||||
|
65- |
|
DN65 |
||||||
|
80- |
|
DN80 |
||||||
|
100- |
|
DN100 |
||||||
|
125- |
|
DN125 |
||||||
|
150- |
|
DN150 |
||||||
|
200- |
|
DN200 |
||||||
|
225- |
|
DN225 |
||||||
|
250- |
|
DN250 |
||||||
|
300- |
|
DN300 |
||||||
|
350- |
|
DN350 |
||||||
|
400- |
|
DN400 |
||||||
|
450- |
|
DN450 |
||||||
|
500- |
|
DN500 |
||||||
|
600- |
|
DN600 |
||||||
|
800- |
|
DN800 |
||||||
|
900- |
|
DN900 |
||||||
|
1000- |
|
DN1000 |
||||||
|
工作壓力 |
1 |
|
0.6 MPa |
|||||
|
2 |
|
1.6 MPa |
||||||
|
3 |
|
2.5 MPa |
||||||
|
4 |
|
4.0 MPa |
||||||
|
5 |
|
6.4 MPa |
||||||
|
6 |
|
10.0 MPa |
||||||
|
工作溫度 |
1 |
120℃以下 |
||||||
|
2 |
220℃以下 |
|||||||
|
3 |
|
|||||||
|
介質類型 |
LC |
|
干凈液體 |
|||||
|
GC |
|
清潔氣體 |
||||||
|
LT |
|
易臟液體 |
||||||
|
GT |
|
易臟氣體 |
||||||
|
VM |
飽和蒸汽 |
|||||||
|
VH |
|
過熱蒸汽 |
||||||
|
附件 |
00 |
不帶附件 |
||||||
|
01 |
僅帶差壓變送器 |
|||||||
|
10 |
僅帶流量積算儀 |
|||||||
|
11 |
帶差壓變送器和流量積算儀 |
|||||||



|
序號
|
上游側部分阻力件方法
|
上游側
|
下
游
側
|
||
|
無整流器
|
有整流器
|
||||
|
與檢測桿在同一平面內
|
與檢測桿不在同一平面內
|
||||
|
1
|
有一個90°彎頭或三通
|
7D
|
9D
|
6D
|
3D
|
|
2
|
在同一平面內有兩個90°彎頭 * *
|
9D
|
14D
|
8D
|
3D
|
|
3
|
在不同一平面內有兩個90°彎頭 * *
|
19D
|
24D
|
9D
|
4D
|
|
4
|
管道直徑改變(收或擴)
|
8D
|
8D
|
8D
|
3D
|
|
5
|
部分開啟的閘閥、球閥或其它節省閥
|
24D
|
24D
|
9D
|
4D
|

以上就是阿牛巴流量計 產品全部內容,歡迎您來電咨詢阿牛巴流量儀 的選型、報價。
本文地址:http://m.coitsbj.com/pro/qt/105.html 轉載請勿刪除![阿牛巴流量計量表]










皖公網安備 34118102000583號